CHP'li belediyelerin yolsuzluğu kıtaları aştı! İşe gelmeyen personele 23 ay maaş

CHP'li belediyelerin yolsuzluğu artık kıtaları aşarak yurt dışına ulaştı. Mersin'in CHP'li Yenişehir Belediyesi'ne yönelik düzenlenen biri başkan yardımcısı 12 şüphelinin tutuklandığı operasyonda yurt dışına giden bir personelin dönmediği 23 ay süreyle de maaş olarak 555 bin TL ödendiği ortaya çıktı.
Alınan bilgiye göre, Mersin Cumhuriyet Başsavcılığı koordinesinde İl Emniyet Müdürlüğü KOM Şubesi ekipleri, 10 Nisan'da CHP'li Yenişehir Belediyesi'ne yönelik ihalede yolsuzluk, rüşvet ve irtikap suçlarından operasyon düzenledi. Operasyonda aralarından belediye başkan yardımcısı, şube müdürleri, belediye personeli ile şirket sahiplerinin de olduğu 31 şüpheli yakalandı.

12 ŞÜPHELİ TUTUKLANDI
Yakalanan şüphelilerin emniyette ifadesi alındı. Emniyette ifadesi alınıp adliyeye sevk edilen şüphelilerden 19'u mahkemeden adli kontrol şartı ile serbest kaldı. Aralarında başkan yardımcısı ve şube müdürleri ile şirket sahiplerinin de olduğu 12 şüpheli ise tutuklandı. Operasyon çerçevesinde şüphelilere ait 29 taşınmaz ile 13 araç hakkında el koyma kararı verildi.İŞE GELMEYEN PERSONELE 23 AY BOYUNCA MAAŞ ÖDENMİŞ
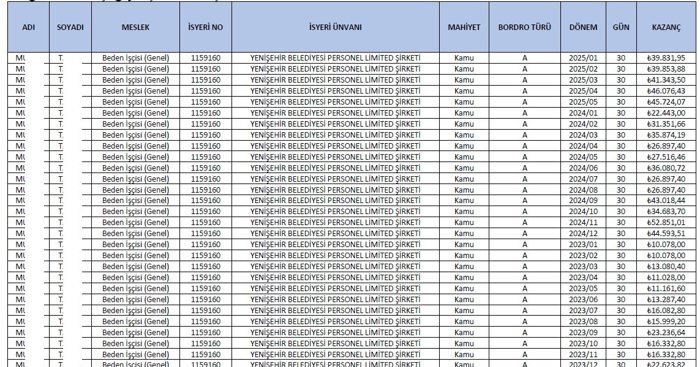
Operasyon çerçevesinde polisin yaptığı araştırmalarda Yenişehir Belediyesi Personel Ltd. Şti.'de SGK kaydı bulunan ve 2018 yılında işe başladığı öğrenilen M.T.'nin 04.10.2023 tarihinde yurt dışına çıktığı bir daha da ülkeye dönmediği belirlendi. Yurt dışında terör örgütü propagandası da yaptığı ileri sürülen M.T.'ye ise 2025 yılının mayıs ayında kadar tam maaş aldığı toplam 555 bin 600 TL'lik ödeme yapıldığı ortaya çıktı. 23 ay işe gelmeden maaş alan ve yurt dışından gelmeyen personel hakkında neden bu kadar süre beklendiği bilinmezken, olayın ortaya çıkmasının ardından ödenen maaş miktarının geri alındığı ileri sürüldü.

"PARA İADE EDİLMİŞSE KURUM ZARARI DA GİDERİLMİŞTİR" SAVUNMASI
Yenişehir Belediyesi eski başkan yardımcısı mevcut Dış İlişkiler Müdürü C.K.'nin olayla ilgili ifadesinde, "M.T. isimli şahsı tanımıyorum, birim bana bağlı değildir. Bu şahıs tarafından paranın da iade edildiğini duydum. Para iade edilmişse kurum zararı da giderilmiştir" dediği öğrenildi.

İŞE GELİP GİTMESİNDEN ŞİRKET SORUMLU DEĞİLMİŞ
Yenişehir Belediyesi Personel Ltd. Şti.'nin geçmiş dönemlerde müdürlüğünü yapan ve izin belgelerinde imzası olduğu öğrenilen S.O.O.'nun ifadesinde ise, "Konuyu tespit eden, ortaya çıkaran ve belediye başkanımıza bilgi veren kişi benim. Yine yürütülen soruşturma safhasında M.T.'nin ne kadar kadar sigortalı gösterildiğini, ne kadar haksız maaş aldığını tespit edip faiziyle birlikte soruşturmayı yürüten başkan yardımcısına bildiren kişi benimdir. Bu şahsın işe alındığı dönemde ben görevde değildim. Ayrıca belediyede çalışan personelin işe gelip gitmesinden Personel Ltd. Şti. sorumlu değildir. Herkes kendi biriminden sorumludur" diyerek savunma yaptığı ortaya çıktı.
- Popüler Haberler -
İngiltere'de Türk rüzgarı: Bakan Fidan iş insanları ve vatandaşlarla bir araya geldi
MSB, 1915 olaylarında Ermeniler tarafından katledilen Türkleri andı
Yargıda "Kırmızı Çizgi" delildir: 5 yıl kayyum olan isme şafak operasyonu düzenlendi
Gülistan Doku dosyasında yeni perde: ''Silahım yok'' demişti, fotoğrafı ortaya çıktı
Günün Manşeti | 24 Nisan 2026 Cuma
Okullarda yeni dönem! Bakan Tekin: Riskleri önceden görüp müdahale edeceğiz



